+12 Center Equation Overleaf 2023

If You Just Need To Display A Set Of Consecutive Equations, Centered And With No Alignment Whatsoever, Use The Gather Environment.


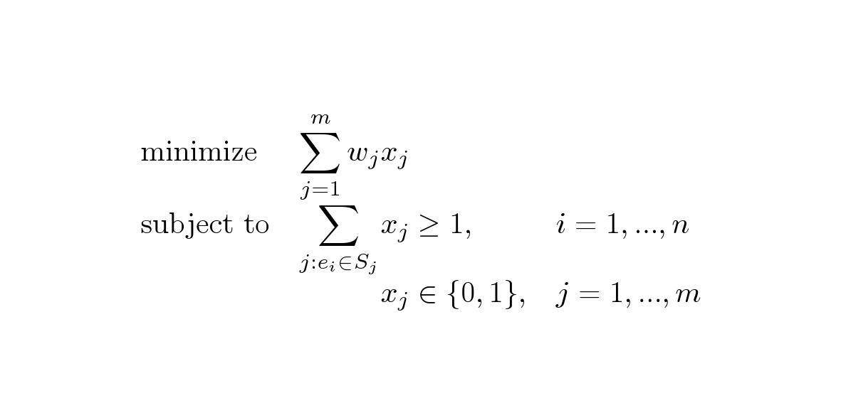
Align all equations in latex. There are up to 7 levels of depth for defining sections depending on the document. The default latex environment for producing centred text is center.

To See A Description Of The Align* Environment.


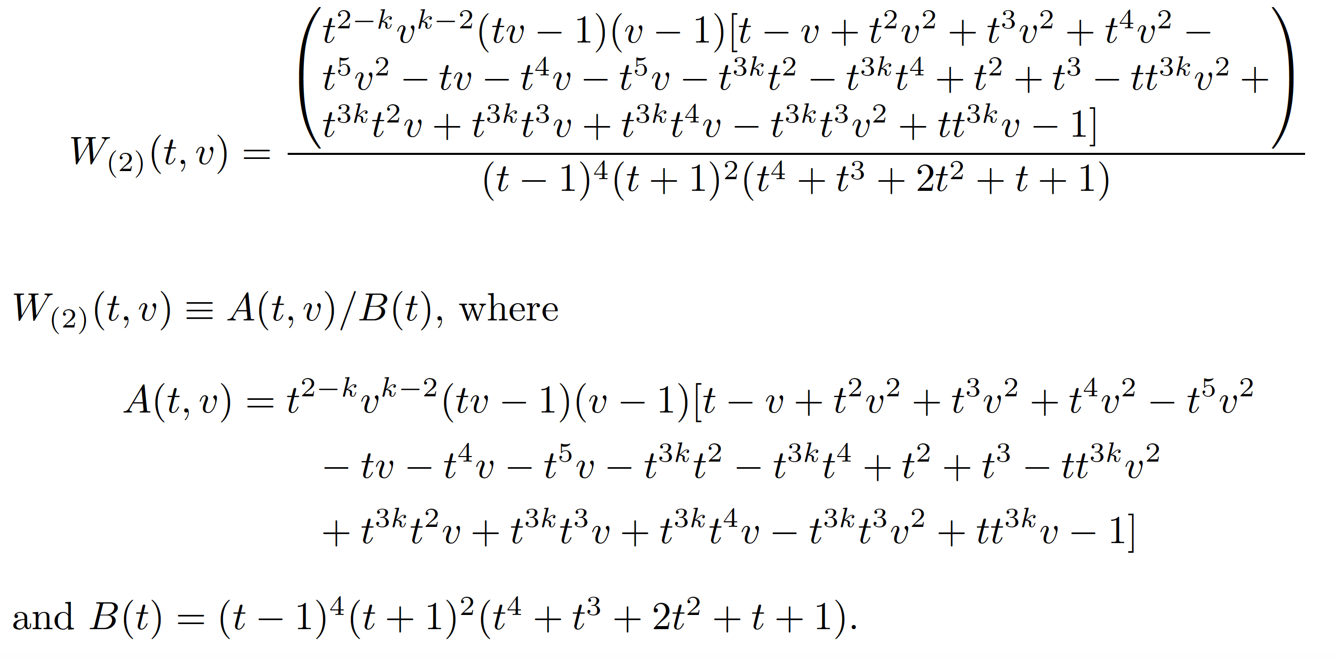
Align an equation in latex. It is used like this: I'd really like to avoid having the equation number on the next line.

\ [ E = M C^2 \] \Captionof {Figure} {A Famous Equation}.


Open this example in overleaf. The environment defines columns within the equation, which in this case has a right aligned column, followed by centre aligned, followed by left aligned using {rcl}. The asterisk trick to set/unset the numbering of.

L A T E X Allows Two Writing Modes.


I have an equation that is only a tiny bit too wide for one line. Use fleqn as an option in the document class. Latex can organize, number, and index chapters and sections of document.

Open This Example In Overleaf.


If there are several equations that you need to align vertically, the align environment will do it: Align equation in the center in late. As you see, the way the equations are displayed depends on the delimiter, in this case \[.\] and \(.\).